JLG蓄电池柔性钠离子电池的电化学实验
组成的材料的元素组成经过EDS技能进行了分析(图6)。未煅烧和煅烧的CQDs主要由C、O和Na组成,这标明CQDs是由含氧碳结构组成的。两种材料都由于NaOH和H2O2的存在而含有较高的氧,这些物质供给了相对较高的比电容和速率才能(图6a和b)。在组成资猜中存在Na,由于制备进程中运用了碱性过氧化物(NaOH–H2O2)辅佐的水热碳化。CQD装修的SnO2含有很多的Sn(60.14%)和O(31.03%)(图6c)。阴极材料(CQDs@NaVO3)主要由V(35.99%)和O(38.61%)组成(图6d)。

Fig. 6:
(a)未煅烧的CQDs,(b)煅烧的CQDs,(c)CQDs@SnO2和(d)CQDs@NaVO3的元素组成
运用TEM(图7a-c)研讨了煅烧CQDs、CQDs@SnO2和CQDs@NaVO3的形状和结构。煅烧CQDs的均匀直径为4.0±0.96nm(n=20)(在线补充数据中的图S1a)。煅烧CQDs的选定区域(电子)衍射(SAED)闪现出六方晶格结构,具有不同的晶面(103)和(123),与煅烧CQDs的XRD图画和SEM一致。此外,两个晶格点之间的间隔为3.82nm。煅烧CQDs的尺度小于10nm,并且有许多晶面(201),(100),(002)和(300),层间隔分别为0.371、0.301、0.340和0.306nm。此外,CQDs具有碳原子规则排列(图7a)。黄色图示是Digital Micrograph软件放大的结果,用于核算晶面d间隔的值(图7b和c)。来自枯叶的CQDs具有0.371nm的层间隔,具有高表面积、大内部空位和缩短的质量或电荷传输长度,这些有效地提高了SIBs的具体容量、速率才能和循环稳定性[19, 48, 49]。

Fig. 7:
(a)煅烧的CQDs、(b)煅烧的CQDs@SnO2和(c)煅烧的CQDs@NaVO3的透射电镜图画
CQDs@SnO2的直径规划为2.11至10.75纳米,均匀值为6.37±2.15纳米(n=43)(在线补充数据图S1b)。这些粒子被看到集合在一起,有许多晶格平面。这些粒子的晶格条纹很明晰,层间隔为0.390和0.335纳米,分别对应于CQDs和SnO2的(1 2 0)和(1 1 0)平面。选区电子衍射(SAED)闪现,SnO2的(0 0 2)和(1 1 0)面以及CQDs的(1 2 3)和(0 0 2)面与XRD的方式一致。具有六方结构的CQDs的层间隔为0.33纳米,对应于(0 0 2)晶格平面(图7b)[50]。CQDs@NaVO3的SAED方式闪现了一个球形结构,层间隔为0.259和0.155纳米,分别对应于NaVO3和CQD的(3 1 0)和(1 0 3)平面,在35°C和59°C时(图7c)。CQDs@NaVO3的表面有许多晶格平面,层间隔分别为0.292、0.239、0.378和0.296纳米,分别对应于(3 0 1)、(2 1 3)、(0 0 2)和(3 0 1)平面,这与CQDs(图4a和b)和CQDs@NaVO3(图4d)的XRD方式保持一致。钠离子(1.02埃)比锂离子(0.76埃)大,由于石墨的层间隔离短(约0.34纳米)[20,51,52],使得它们难以刺进石墨中。本研讨挑选了具有多孔结构的生物质衍生CQDs,以战胜这些问题。
2.3 柔性钠离子电池的电化学功用
研讨了运用不同隔膜制造的电池的循环伏安法(CV),在不同的扫描速率(25、10、5、3、1和0.5 mV s^-1)下进行测试,并在0.5 mV s^-1的初始循环CV中进行了三次测试,其电位规划为0-3.5 V,以表征电池的功用(图8I-V)。在低扫描速率下,电容值较高。电池的CV闪现在不同的扫描速率下出现可逆氧化恢复反响的峰。这些峰是由CQDs中的钠离子刺进和提取以及凝胶聚合物电解质构成的[53]。在ITO/PTE隔膜中,0.1 V和0.53 V的氧化峰与0.03 V的恢复峰相对应,出现在第一周期,而0.53 V的氧化峰在后续周期中消失。此外,即使在电流降低的情况下,第二和第三周期的氧化和恢复峰的高度也可见减少。第二和第三周期的CV曲线堆叠,标明在钠化和去钠化进程中,具有多孔结构的阳极和阴极材料的CQDs具有出色的循环功用[10]。0.1 V的阳极峰来源于可逆的钠化/去钠化进程[54](图8I a2)。此外,没有明显的峰值标明电解质的分解,并且能够发现第二和第三周期是叠加的。这标明电极表面没有构成固体电解质界面(SEI)。

在新标签页中翻开下载幻灯片

Fig. 8:
不同扫描速率(0.5-25 mV s^-1)下各种隔膜的循环伏安图以及0.5 mV s^-1(三个周期)下的氧化恢复功用行为(I)ITO/PTE(a1,a2),(II)RP(b1,b2),(III)SIL BH(c1,c2),(IV)SIL SH(d1,d2)和(V)CP(e1,e2)
在SIBs中,RP作为隔膜时,存在两个氧化峰,分别为0.26 V和0.87 V,以及0.52 V和0.64 V的恢复峰。该电池经过氧化峰开释的电流高于ITO/PTE隔膜,而恢复峰的电流值较低(图8II b2)。恢复峰的面积低于氧化峰。全部循环中,0.52 V和0.64 V的两个不可逆恢复峰标明没有构成SEI。可逆的恢复峰位于0.52 V和0.64 V,归因于CQDs层间的Na离子刺进-提取[56]。SIBs中的SIL BH隔膜具有氧化(0.11 V)和恢复(0.08 V)峰(图8I II c2),其响应与ITO/PTE隔膜类似。可是,SIL BH的恢复峰开释的电流低于ITO/PTE。在SIL SH的情况下,隔膜的CV闪现三个氧化峰,分别为0.16 V、0.86 V和1.31 V(图8I V d2),与SIL BH比较。不可逆的恢复峰出现在接连三个周期的0.3 V、0.18 V和0.06 V。研讨标明,硅胶表面的小孔影响了电池的功用。有许多小孔(SIL SH)的硅胶比有大孔(SIL BH)的硅胶具有更多的凝胶负载量。在以CP为隔膜的SIBs中,全部循环中都构成了两个阳极峰,分别为0.05 V和0.12 V。可是,第一周期中0.1 V的阴极峰以及第二和第三周期的阴极峰
所制造电池的具体电容值是经过以下公式核算的,该公式运用数学面积(方程式1)在扫描速率为0.5 mV s-1时CV曲线的面积:
(1)
其间 \( S_{\text{Idv}} \) 标明 CV 曲线下的积分面积,\( m \) 是作业电极表面活性材料的质量(克),\( v \) 是扫描速率(0.5 mV s⁻¹),而 (\( v_f - v_i \)) 是功用电位窗口(伏特)。
ITO/PTE、RP、SIL BH、SIL SH和CP电池的具体电容值分别为13、266、116、881和183法拉每克。SIL SH由于柔性硅胶片表面孔洞的数量和大小,其比SIL BH(116法拉每克)具有更高的比电容(881法拉每克)。SIL SH或许含有比SIL BH更多的凝胶聚合物电解质。在低扫描速率下,SIL SH的电容值高于高扫描速率下的电容值,并且靠近志向的形状。当以0.5毫伏每秒的速率从零电位对全部电池充电时,电流最初增加,然后跟着电势的增加而减少,在CV曲线中表现出一个驼峰[57, 58]。
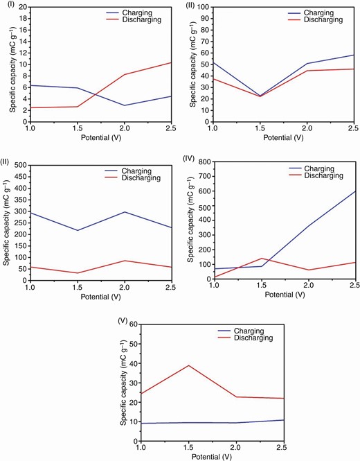
图9I-V展现了运用计时电流法对1 V、1.5 V、2 V和2.5 V的电池进行1小时充放电研讨的曲线,其原始数据如图S2I-IV在线补充数据中所示。制造电池的具体电容由方程2所示的充电和放电曲线核算得出:

Fig. 9:
不同电压下运用各种隔膜的SIB充放电容量曲线(I)ITO/PTE,(II)RP,(III)SIL BH,(IV)SIL SH和(V)CP
(2)
其间(t₂ - t₁)标明时间持续(秒),(i₂ + i₁)标明电荷(库仑),m 标明作业电极表面活性材料的质量(克)。
